Kth Smallest Element in a BST
Problem
Given the
rootof a binary search tree, and an integerk, return thekthsmallest value (1-indexed) of all the values of the nodes in the tree.
Example 1:
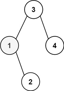
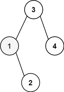
Input: root = [3,1,4,null,2], k = 1 Output: 1Example 2:
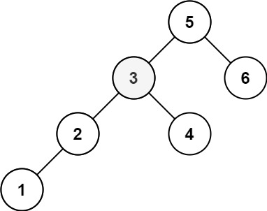
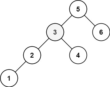
Input: root = [5,3,6,2,4,null,null,1], k = 3 Output: 3
Pseudocode
- leverage on behaviour of dfs
- recurse to end of left child node
- then return the kth nodeSolution
// BST - node.right < node < node.left
// kth smallest - need to find the smallest, then find the kth smallest on the way back
var kthSmallest = function (root, k) {
let count = 0;
let smallestK = null;
function walk(node) {
// base condition
if (!node) {
return 0;
}
// pre
// recurse
walk(node.left);
count++;
// console.log(`smallest ${count}: ${node.val}`)
if (count === k) {
smallestK = node.val;
}
walk(node.right);
// post
}
walk(root);
return smallestK;
};
Time and Space Complexity
Time
What did the code do
Total -
Space
What did the code do
Total -
Last updated

