Validate Binary Search Tree
Problem
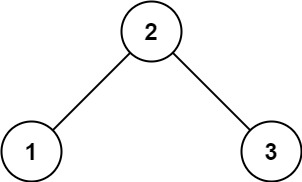
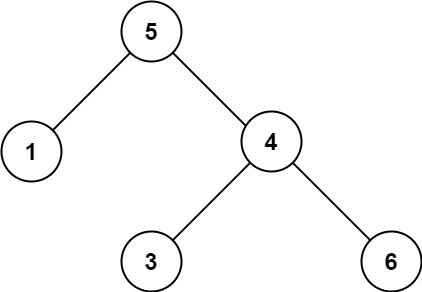
Input: root = [2,1,3] Output: trueInput: root = [5,1,4,null,null,3,6] Output: false Explanation: The root node's value is 5 but its right child's value is 4.
Pseudocode
Solution
Time and Space Complexity
Time
Space
Last updated

