Binary Tree Level Order Traversal
Problem
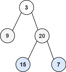
Input: root = [3,9,20,null,null,15,7] Output: [[3],[9,20],[15,7]]Input: root = [1] Output: [[1]]Input: root = [] Output: []
Pseudocode
Solution
Time and Space Complexity
Time
Space
Last updated
