Balanced Binary Tree
Problem
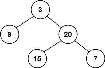
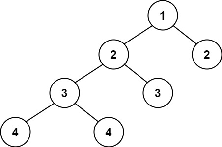
Input: root = [3,9,20,null,null,15,7] Output: trueInput: root = [1,2,2,3,3,null,null,4,4] Output: falseInput: root = [] Output: true
Pseudocode
Solution
Time and Space Complexity
Time
Space
Last updated

